PRODUCT


銷售一部:0531-88760590
銷售二部:0531-88786527
寧經理:18853131830, 15553139909
李經理:18615581723
工廠地址: 濟南高新區孫村鎮大正路與世紀大道交叉口東50米
銷售地址:山東省濟南市高新區聯合財富廣場1號樓907

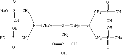
CAS No.22042-96-2
分子式 C9H26O15N3P5Na2
結構式

DTPMP·Na2由DTPMP的不同形式鈉鹽組成,DTPMP·Na2可用作阻垢劑、高效螯合劑、良好的BaSO4阻垢劑,廣泛用于冷卻水處理、過氧化物漂白的穩定劑、洗滌助劑、市政工業清潔用水、地熱水處理、油田阻垢。
項 目 | 指 標 |
外 觀 | 紅棕色透明液體 |
活性組分(以DTPMPA計)/% | 45.0~49.0 |
總磷(以PO43-計)/% | 37.0~40.0 |
pH值(1%水溶液) | 2.0~3.0 |
密度(20℃)/g·cm-3 | 1.37~1.47 |
氯化物 (以Cl-計) /% | ≤5.0 |
Fe含量(以Fe計) /mg·L-1 | ≤20.0 |
DTPMP·Na2用塑料桶包裝,每桶30kg 或250kg,也可根據用戶需要確定。貯于室內陰涼處,貯存期十個月。
DTPMP·Na2為弱酸性,操作時注意勞動保護,應避免與皮膚、眼睛等接觸,接觸后用大量清水沖洗。